廠家為您講解小口徑混凝土排水管密封膠圈的設計研究
優質內容 來源:《混凝土與水泥制品》雜 作者:舒春雪 發布時間:2022-01-28 00:25:39 閱讀次數: 收藏數:12 分享:39
今天永嘉旭麗橡塑為大家帶來的內容是《小口徑混凝土排水管密封膠圈的設計研究》,本文來源于網絡,如有侵權請聯系告知刪除。
摘 要:為解決實際工程中小口徑混凝土排水管的連接質量問題,通過排水管對接連接和內水壓力試驗,建立了不同硬度、不同壓縮率密封膠圈與排水管對接安裝難易程度及質量的關系,并針對實際工程,提出了合理的改進意見,以期為提高小口徑混凝土排水管的對接安裝質量提供參考。
關鍵詞:混凝土排水管;密封膠圈;硬度;壓縮率;安裝質量
0 前言
大規模的城鎮化建設有力地推動了城市市政基礎設施建設的發展,以混凝土排水管(以下簡稱排水管)為主要結構構筑物的地下排水管網是城市市政基礎設施的重要組成部分, 有效地保障了城市生活污水、生產污水的收集輸送,汛、澇積水的排放。膠圈作為排水管接頭的主要配件,其受力變形能力、硬度與實際壓縮率的設計,直接影響著排水管的施工質量和服役壽命,尤其對于小口徑排水管而言(DN150~600)。然而,在實際設計和施工過程中,由于忽略了密封膠圈的設計影響因素,往往出現排水管連接過松或過緊的情況。承插口對接過緊時,膠圈壓縮比過大,承插口難以對接到位,且易出現承口漲裂現象;承插口對接過松時,膠圈壓縮比過小,承插口對接難度較小,但易出現密封不嚴、管子滲漏的情況。例如:有的排水管在套上膠圈進行對接時,承插口的連接插入難度較大,需用手拉葫蘆才能連接到位,個別管子甚至出現了承口漲裂現象;有的排水管在安裝后進行密封試驗時,出現接頭滲漏的情況,安裝時排水管的連接很容易,兩名工人依靠推力就可完成對接作業。筆者經過現場查看和對管型的安裝尺寸復核發現,產生上述現象的主要原因是膠圈的實際硬度與設計不符或膠圈材質發生變化(硬度超標)。針對以上情況,本文選取DN450排水管為研究對象,參考BS EN 1916:2002 Concrete pipes and fittings, unreinforced, steel fibre and reinforced[4]附錄A中關于接頭密封膠圈的試驗及計算方法,通過計算膠圈壓縮率,結合排水管內水壓力試驗,以期了解膠圈應用長度和硬度對安裝質量的影響,為提高排水管接口安裝質量提供參考意見。
1 密封膠圈壓縮率計算
目前排水管采用的膠圈材質大多為三元乙丙橡膠(EPDM),硬度一般采用40~50G。根據GB/T 21873—2008《橡膠密封件給、排水管及污水管道用接口密封膠圈材料規范》的規定,橡膠圈的硬度等G分類如表1所示。

本文選取的DN450排水管膠圈為齒形密封膠圈,見圖1。膠圈長度分別按照插口膠圈位置周長L的80%、82%、84%、86%%進行壓縮率計算(本次計算中不考慮剪力作用),排水管接口及膠圈數據見表2。

膠圈壓縮率計算如下:
(1)膠圈長度L1

(2)伸展比ε

(3)膠圈使用高度hm

(4)Z小壓縮率δ1

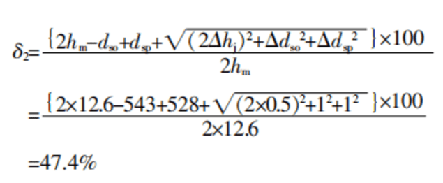
(5)Z大壓縮率δ2

其他長度比例也按照上述計算方法,計算結果見表3。

2 排水管對接及內水壓力試驗
2.1 排水管對接試驗
根據上述計算所得的膠圈壓縮率區間,分別選取硬度為40G(實測42~45)與50G(實測48~50)的橡膠圈,按圖2進行對接安裝,以此來驗證各種壓縮率下排水管對接安裝的難易程度,安裝結果見表4。

2.2 內水壓力試驗
排水管對接安裝完成后,將其移至內水壓力試驗架上進行接頭內水壓力試驗,如圖3所示。承插口對接后加水壓至0.14 MPa,持壓1 min,檢驗排水管接頭是否有滲漏情況。采用不同硬度的膠圈在不同壓縮率區間內進行內水壓試驗,試驗結果匯總見表5。

3 應用分析
3.1 案例分析
案例1:DN450排水管在套上膠圈后進行對接安裝時較困難,承口開裂兩次。現場測量膠圈硬度為53~56,長度比例為84%,設計壓縮率為47%,如圖4所示。
案例2:DN375排水管在套上膠圈后對接安裝較容易,但現場內水壓力試驗出現滲漏現象。現場測量膠圈硬度為36~40,長度比例為85%,設計壓縮率也是47%,如圖5所示。

從以上兩個案例的實際數據來看,案例1中膠圈硬度G別屬于50G,壓縮率為47%;案例2中的膠圈硬度G別屬于40G,壓縮率同樣為47%。在壓縮率相同的情況下,不同硬度G別的膠圈造成了截然不同的使用效果。當然,膠圈材質也是內在因素,此文不作專門論述。
3.2 案例處理
針對以上兩個工程案例,根據分析結果,采取以下處理措施:
案例1:建議在不改變膠圈截面和長度的情況下,更換硬度較小的新膠圈或在同樣硬度的情況下,縮小長度,降低實際壓縮率區間。
案例2:建議更換新膠圈,在不改變膠圈截面和長度情況下,保證硬度G別達到40G。
施工方根據上述建議進行了膠圈調整,排水管對接安裝時難度適中,現場內水壓力試驗也滿足要求。排水管對接安裝和內水壓力試驗如圖6所示。

4 結論
(1)膠圈理論設計對于管道的密封效果和使用壽命非常重要。膠圈的實際壓縮率應按照不同硬度等G來進行要求,采用不同材質或不同硬度G別的膠圈時,需相應調整膠圈壓縮率。
(2)對于小口徑排水管(DN600以內),由于膠圈安裝間隙較小,膠圈的壓縮率控制要更加精準,對膠圈的材質要求也需更嚴格。
(3)由于市場上膠圈的質量參差不齊,在使用時應盡量把膠圈保存在室內陰涼處,避免暴露于太陽下,保證安裝時膠圈的硬度沒有發生大的變化,也沒有老化現象。
(4)本文所討論的膠圈應用情況(包括壓縮比和硬度)都是針對齒形膠圈而言,而對于楔形膠圈和圓形膠圈,則有不一樣的設計和結論。按筆者經驗,用齒形膠圈時壓縮率可以稍高一些,而使用楔形和圓形膠圈時壓縮率則可以稍低一些,在應用時要進行具體的分析。
好了,以上內容由永嘉旭麗橡塑為大家提供,希望能夠對大家有所幫助。若還想了解更多相關知識,可持續關注本站,旭麗會為大家持續更新更多相關內容。
- 137****664867小時前【向廠家咨詢】
- 157****981316小時前【向廠家咨詢】
- 130****914736小時前【向廠家咨詢】
- 182****133058小時前【向廠家咨詢】
- 150****734445小時前【向廠家咨詢】
- 138****102655小時前【向廠家咨詢】
本文標題:廠家為您講解小口徑混凝土排水管密封膠圈的設計研究本文地址:http://m.biaoqiu.cn/technology/548.html



「O型圈」聚四氟乙烯橡膠O型圈
「O型圈」氫化丁腈橡膠O型圈
全氟醚O型圈
「O型圈」天然橡膠O型圈